Asterix Briefmarken 2015

Allgemeine Themen, die etwas mit Asterix zu tun haben und Vorstellung aktueller Asterix-Hefte, -Filme und -Produkte.

Moderatoren: Erik, Maulaf

Benutzeravatar
methusalix
AsterIX Bard
Beiträge: 5236
Registriert: 23. Juni 2006 20:15
Wohnort: OWL

Re: Asterix Briefmarken 2015

Beitrag: # 50228Beitrag methusalix »

Hallo ,
so , konnte jetzt noch etwas genaueres über die Asterix Briefmarken in Erfahrung bringen :-)
Das Motiv-Thema ist "Dorfalltag" ©2015 Les Editions Albert Rene/ Goscinny-Uderzo ; Für den Entwurf der Postwertzeichen und Stempel ist Thomas Steinacker, Bonn verantwortlich

Ausgabetag ist der 01.09.2015
Wert (in Euro Cent) Motiv 1: „Asterix“: 62 / Motiv 2: „Obelix“: 62 / Motiv 3: „Idefix“: 21
Gesamtwert Blockausgabe: 145
Papier: Gestrichenes, weißes und fluoreszierendes Postwertzeichenpapier DP II
Druck: Mehrfarben-Offsetdruck der Bagel Security-Print GmbH & Co. KG, Mönchengladbach
Größe Postwertzeichen Motiv 1: „Asterix“: 33,00 x 39,00 mm / Motiv 2: „Obelix“: 33,00 x 39,00 mm / Motiv 3: „Idefix“: 34,89 x 34,89 mm
MiNr.3175-3177 Block 80
MiNr. 3178-3179
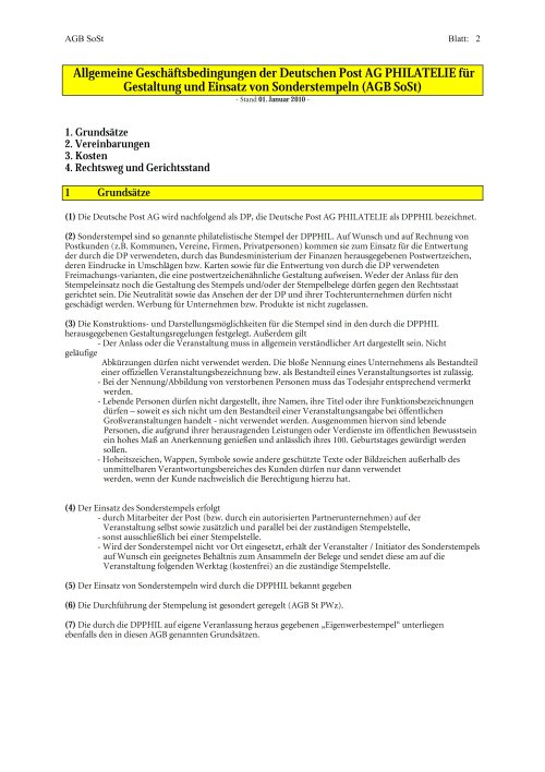
Das Versandzentrum Weiden bietet dieses Produkt auch in gestempelter Form an; verwendet wird hierzu ausschließlich der sog. „Erstverwendungsstempel Bonn“. Die Stempelung mit dem Erstverwendungsstempel erfolgt bei den Stempelstellen Weiden, Bonn und Berlin.

Gestaltung & Einsatz von Sonderstempeln :
:arrow: https://philatelie.deutschepost.de/out/ ... -01-01.pdf

siehe unten :arrow:

Gruß Peter
Dateianhänge
AGB SoSt Stand 2010-01-01_Sonderstempel 002.jpg
AGB SoSt Stand 2010-01-01_Sonderstempel 002.jpg (76.25 KiB) 9291 mal betrachtet
AGB SoSt Stand 2010-01-01_Sonderstempel 003.jpg
AGB SoSt Stand 2010-01-01_Sonderstempel 003.jpg (76.55 KiB) 9291 mal betrachtet
Wer einem Fremdling nicht sich freundlich mag erweisen, der war wohl selber nie im fremden Land auf Reisen.

Rückert, Friedrich
ichweißnix
AsterIX Village Craftsman
Beiträge: 200
Registriert: 28. Juni 2006 23:00
Wohnort: Berlin

Re: Asterix Briefmarken 2015

Beitrag: # 50230Beitrag ichweißnix »

Erik hat geschrieben: Jein. Wenn Du den Rahmen einfach bunt anmalst, ist das kein Asterix-Bezug. Wenn Du einen Rahmen mit für bestimmte Asterix-Postkarten passender Randgestaltung (z.B. Dorf-Darstellung, Römerlager-Darstellung etc.) kreierst, professionell in großer Zahl produzieren läßt und diese Rahmen dann - mit der oder ohne die Postkarte - auch ohne Asterix-Lizenz auf dem deutschsprachigen Markt vertreibst, dann hielte ich auch das für aufnahmefähig.

Wenn Du Comedix auf einen Umschlag schreibst und eine Asterix-Marke drauklebst, reicht das gewiß nicht. Wenn Du den Schriftzug drauf drucken läßt und diese Umschläge auf dem deutschsprachigen Markt breitflächig vertreibst, dann kann das eben meiner Auffassung nach reichen.

Eine Asterix-Lizenz war soweit ich das sehe nie Aufnahmevoraussetzung, sondern eine Lizenzverletzung ein Ausschlußgrund.

Man mag Artikel wie diese als "Zweitverwertung" sehen, aber ich finde den Begriff eigentlich nicht passend, wenn der Erstverwertung noch ein Mehr (hier die Hintergrundgestaltung des Umschlages) hinzugefügt wird, auch wenn man dazu keine Asterix-Lizenz braucht. Ein neuer Artikel kann ja auch entstehen, wenn man etwas Vorhandenes in einen neuen Kontext stellt, wie etwa vorhandene Einzelfiguren in ein passendes Diorama.

Gruß
Erik
Hallo Erik,
Stein meines Anstoßes war der Punkt, dass die Umschläge als Originalprodukt beschrieben waren.
Auch halte ich die Lizenzfrage nicht vordergründig.
Ich versuche gerne noch mal auf Deine Punkte einzugehen, vielleicht wird dann klarer, was ich meine.
- ich designe einen Pallisadenzaun (gemeinfrei) und schreibe in eine Ecke "Comedix.de, die Beste Asterixseite der Welt"
--> Asterix-Bezug hergestellt, keine Rechte verletzt (außer, Marco hat die Namensrechte??)
- jetzt lasse ich die in einer Druckerei/Copyshop/Laserdrucker in unbekannter Anzahl drucken, Marken drauf und Stempel drauf
- nun wird das ganze in unbekannter Anzahl in einem Shop/ebay angeboten (als gewerblicher Verkäufer versteht sich, will ja keine Steuerprobleme)

So müsste ich doch alle Kriterien erfüllt haben um in der Bibliothek gelistet zu sein?

Jetzt bin ich so "lustig" und packe noch in eine Ecke meinen Avatar und den Forennamen dazu.
(Ja, wird keiner kaufen, ist auch nur ein Beispiel) Und ich bin immernoch bibliothekwürdig.
Okay, nun nehme ich noch Deinen Avatar, den von Peter und den von Marco. Schon habe ich 4 verschieden
im Angebot, die nach dieser Vorgehensweise in die Bibliothek aufgenommen werden.
Würdest Du diese Sachen noch immer als Originalprodukte bezeichnen?

Jetzt kommt ein Sammler und schaut nach Informationen zu den Briefmarken. Da steht dann drin, 3 Originalprodukte von
Sieger und vier von mir. Als Sammler denkt er nun, er muss alle haben (klar, seine Sache). Aber es bekommt halt einen
offiziellen Anstrich "durch Comedix dokumentiert". Und wenn ich nun alle aktiven Forenmitglieder darauf verewige, hat der
Sammler echt zu tun. Die Auflage kann im Endeffekt auch keiner nachweisen.
Es wurde also ein frei verfügbares Marktelement von einem 2. (unabhängigen) Marktteilnehmer eingekauf, erweitert und
neu in den Markt gebracht. Was nebenbei halt auch jeder andere machen kann und damit die Anzahl der ähnlichen Produkte am
Markt zu groß und unüberschaubar sein kann. Daher auch meine Bezeichnung "Zweitverwertung".

Okay, meine Meinung kund getan und abgehakt.
Falls jemand Bilder von der Postausgabe sehen möchte, kann ich sie machen.

Nix für ungut.
ichweißnix
Benutzeravatar
Erik
AsterIX Druid
Beiträge: 8335
Registriert: 8. August 2004 17:55
Wohnort: Deutschland

Re: Asterix Briefmarken 2015

Beitrag: # 50231Beitrag Erik »

Hallo ichweißnix,
ichweißnix hat geschrieben:Jetzt kommt ein Sammler und schaut nach Informationen zu den Briefmarken. Da steht dann drin, 3 Originalprodukte von Sieger und vier von mir. Als Sammler denkt er nun, er muss alle haben (klar, seine Sache). Aber es bekommt halt einen offiziellen Anstrich "durch Comedix dokumentiert".
na schön, der Begriff "Originalprodukt" ist in dem Zusammenhang vielleicht wirklich ungünstig, weil er zu Mißverständnissen führen kann. Wie ich schon sagte, gegen eine Textänderung, die den Charakter der Sieger-Artikel besser berschreibt, hätte ich ja auch nichts.

Eine Entfernung aus der Bibliothek halte ich aber weiterhin für völlig unangebracht. Unzweifelhaft lassen sich viele Grenzfälle konstruieren. Wir sind hier im Forum mehr als einmal mit Grauzonen konfrontiert worden, was Bibliothekswürdigkeit anging. Der Fall, daß jemand ein Produkt mit mäßigem Asterix-Bezug nur über Online-Shops vertreibt, ist sicher eine Grauzone.

So haben wir es hier aber eben nicht, weil Sieger keine Privatperson ist, sondern ein großer und durchaus namhafter Sammlerartikelvertrieb. Die stellen "Sekundär"-Produkte dieser Art vielfach professionell her und vertreiben sie über das Internet aber auch über Kataloge. - Ob es (noch) lokale Sieger-Shops gibt, weiß ich jetzt gar nicht. In Österreich jedenfalls aber wohl schon.

Insofern halte ich das hier nicht für einen Fall der Grauzone, sondern für eine klare Aufnahmewürdigkeit. Verbesserungswürdigkeiten am derzeitigen Text stehen dem nicht entgegen.

Gruß
Erik
"Alle sollt ihr noch sehen, daß ich habe recht!" (Erik der Blonde, Die große Überfahrt, S. 5)
ichweißnix
AsterIX Village Craftsman
Beiträge: 200
Registriert: 28. Juni 2006 23:00
Wohnort: Berlin

Re: Asterix Briefmarken 2015

Beitrag: # 50232Beitrag ichweißnix »

Um auch mal konstruktiv zu sein:

es gibt auch ein Packset:
PACKSET Sonderedition "Asterix"
https://www.efiliale.de/efiliale/katalo ... ficat60092
sowie 3 Plusbriefe von der Post:
PLUSBRIEF Sonderedition "Asterix"
https://www.efiliale.de/efiliale/katalo ... ficat60092

Gruß
ichweißnix
Benutzeravatar
methusalix
AsterIX Bard
Beiträge: 5236
Registriert: 23. Juni 2006 20:15
Wohnort: OWL

Re: Asterix Briefmarken 2015

Beitrag: # 50233Beitrag methusalix »

Hallo,
so , nun habe ich auch meine bestellten Sachen von der Post erhalten , sehr schön gemacht 8)
Und alle Umrandungen die auch bei Sieger zu sehen sind , sind auch auf den Klappseiten der Post vorhanden :-D
Und nix dazu gedichtet : Lupe und Zaun auch bei der Post vorhanden :!: Jetzt bin ich erst richtig gespannt auf die Siegerausgaben .
Außerdem glaube ich bei der Sieger Abbildung der Lupe , auf dem Handgriff so etwas wie ein Copyright gesehen zu haben :roll:


Gruß Peter
Dateianhänge
IMG_20150828_162110 a.jpg
IMG_20150828_162110 a.jpg (32.43 KiB) 9262 mal betrachtet
IMG_20150828_162046 b.jpg
IMG_20150828_162046 b.jpg (36.86 KiB) 9262 mal betrachtet
IMG_20150828_162605 d.jpg
IMG_20150828_162605 d.jpg (39.62 KiB) 9262 mal betrachtet
Wer einem Fremdling nicht sich freundlich mag erweisen, der war wohl selber nie im fremden Land auf Reisen.

Rückert, Friedrich
Benutzeravatar
methusalix
AsterIX Bard
Beiträge: 5236
Registriert: 23. Juni 2006 20:15
Wohnort: OWL

Re: Asterix Briefmarken 2015

Beitrag: # 50234Beitrag methusalix »

Fortsetzung :arrow:
Dateianhänge
IMG_20150828_162658 e.jpg
IMG_20150828_162658 e.jpg (110.66 KiB) 9262 mal betrachtet
IMG_20150828_162833 f.jpg
IMG_20150828_162833 f.jpg (45.54 KiB) 9262 mal betrachtet
IMG_20150828_162440 c.jpg
IMG_20150828_162440 c.jpg (28.91 KiB) 9262 mal betrachtet
Wer einem Fremdling nicht sich freundlich mag erweisen, der war wohl selber nie im fremden Land auf Reisen.

Rückert, Friedrich
Benutzeravatar
methusalix
AsterIX Bard
Beiträge: 5236
Registriert: 23. Juni 2006 20:15
Wohnort: OWL

Re: Asterix Briefmarken 2015

Beitrag: # 50235Beitrag methusalix »

Fortsetzung :arrow:
Dateianhänge
IMG_20150828_163018  f.jpg
IMG_20150828_163018 f.jpg (43.76 KiB) 9258 mal betrachtet
IMG_20150828_162957 g.jpg
IMG_20150828_162957 g.jpg (43.72 KiB) 9262 mal betrachtet
Wer einem Fremdling nicht sich freundlich mag erweisen, der war wohl selber nie im fremden Land auf Reisen.

Rückert, Friedrich
Benutzeravatar
methusalix
AsterIX Bard
Beiträge: 5236
Registriert: 23. Juni 2006 20:15
Wohnort: OWL

Re: Asterix Briefmarken 2015

Beitrag: # 50239Beitrag methusalix »

Hallo Erik,
Erik hat geschrieben:Eine Entfernung aus der Bibliothek halte ich aber weiterhin für völlig unangebracht.
Ganz meiner Meinung ;-) Jetzt haben wir schon mal einige für den Deutschen Markt hergestellte Briefmarken-Sätze , wo wir (ich?) doch immer vergeblich versucht haben bei den Guernsey Marken einen Eintrag zu rechtfertigen ;-)
Da kann es doch daran nicht scheitern das es sich hier um eine "Zweitverwertung" handeln soll (was noch nicht geklärt ist) , auch nicht das Argument der Abzocke ist nicht relevant ; Zweitverwertungen und völlig Überhöhte Angebote haben uns noch nie gestört , oder :?:
Und das Argument von ichweißnix "Diese 3 können demnach 3 von vielen sein und keiner kann sagen, wie viele es von anderen Herstellern geben wird " ist ja nicht mehr haltbar, da nur Sieger mit diesem Angebot auf dem Markt ist ; Für andere ist es Leider zu spät da wir ja in zwei Tagen den 1.9.15 haben und First Day Cover Briefmarken und deren gestaltende Exemplare nun mal vom Datum abhängig sind ;-)

Gruß Peter
Wer einem Fremdling nicht sich freundlich mag erweisen, der war wohl selber nie im fremden Land auf Reisen.

Rückert, Friedrich
ichweißnix
AsterIX Village Craftsman
Beiträge: 200
Registriert: 28. Juni 2006 23:00
Wohnort: Berlin

Re: Asterix Briefmarken 2015

Beitrag: # 50240Beitrag ichweißnix »

methusalix hat geschrieben:Hallo Erik,
Erik hat geschrieben:Eine Entfernung aus der Bibliothek halte ich aber weiterhin für völlig unangebracht.
Ganz meiner Meinung ;-) Jetzt haben wir schon mal einige für den Deutschen Markt hergestellte Briefmarken-Sätze , wo wir (ich?) doch immer vergeblich versucht haben bei den Guernsey Marken einen Eintrag zu rechtfertigen ;-)
Da kann es doch daran nicht scheitern das es sich hier um eine "Zweitverwertung" handeln soll (was noch nicht geklärt ist) , auch nicht das Argument der Abzocke ist nicht relevant ; Zweitverwertungen und völlig Überhöhte Angebote haben uns noch nie gestört , oder :?:
Hallo Peter,
tut mir leid, wahrscheinlich in den Augen anderer "stänkern" zu müssen, aber ich habe nie eine strikte Entfernung gefordert.
Ich war für eine Klarstellung der Verhältnisse!!
Was die Abzocke der Sammler betrifft (vor allem bei [ja ich bleibe vorerst weiter bei dem Wort] Zweitverwertung)....
das ist natürlich jedem selbst überlassen.
In meinen Augen ist das nur traurig -.-
methusalix hat geschrieben: Und das Argument von ichweißnix "Diese 3 können demnach 3 von vielen sein und keiner kann sagen, wie viele es von anderen Herstellern geben wird " ist ja nicht mehr haltbar, da nur Sieger mit diesem Angebot auf dem Markt ist ; Für andere ist es Leider zu spät da wir ja in zwei Tagen den 1.9.15 haben und First Day Cover Briefmarken und deren gestaltende Exemplare nun mal vom Datum abhängig sind ;-)

Gruß Peter
Auch hier habe ich eine traurige Nachricht für Dich, seit heute sind wir bei 5, und nein, ich habe sie nicht selbst gebastelt.
Und jaa, sie haben einen professionell gemachten Asterix-Bezug.
http://www.ebay.de/itm/BRD-2015-Asterix ... 7675.l2557
und
http://www.ebay.de/itm/BRD-2015-Asterix ... 7675.l2557
Eine Bewertung des Ursprunges, der "Originalität" und der Verfügbarkeit spare ich mir.

Ich geh mich wieder schleichen.
Beste Grüße
ichweißnix
Benutzeravatar
methusalix
AsterIX Bard
Beiträge: 5236
Registriert: 23. Juni 2006 20:15
Wohnort: OWL

Re: Asterix Briefmarken 2015

Beitrag: # 50241Beitrag methusalix »

Morgen ichweißnix,
ichweißnix hat geschrieben:tut mir leid, wahrscheinlich in den Augen anderer "stänkern" zu müssen, aber ich habe nie eine strikte Entfernung gefordert.
Nun hier kann jeder seine Meinung kundtun ,ohne gleich als "Stänkerer" gelten zu müssen ;-)
Zweitens betreibst Du was das letzte angeht Haarspalterei , denn Marco hat gefragt : " Also ist es praktisch sinnvoller, die bisher genannten Exemplare aus der Bibliothek herauszunehmen und den Hinweis, dass Ersttagsbriefe erschienen sind, aber keine offiziellen Produkte sind, hinein zu schreiben? Und zusätzlich noch das offizielle Produkt der Post aufzunehmen? "
Deine unmittelbare Antwort darauf : " aus meiner persönlichen Sicht schon, aber ich bin hier nur ein Teil der Gemeinschaft und eine einzelne Meinung. Das Post-Produkt würde ich auf jeden Fall noch in der Bibliothek benennen. Ist schließlich eine offizielle Ausgabe durch den Emittenten der Briefmarke im Rahmen des Ausgabeanlasses. "
Wenn das nicht strikt sein soll :roll: Bedeutung von strikt : ohne Einschränkung ;-)
Und was deine erneute Verlinkung der ebay Artikel betrifft, ist dazu zu bemerken das dies gebrauchte Artikel sind , die von der Ausgabestelle der Post neu gekauft wurden und nun bei ebay wiederverkauft werden ; Kein vergleich zu den Produkten von Sieger, man sollte mal die AB durchlesen denn da steht "Dieser von der Deutschen Post im September 2015 offiziell verausgabte FDC mit den selbstklebenden Nr. 3178 und 3179 ist gut erhalten. " und weiter heißt es " ..... FDC jeweils mit einer kleineren Unebenheit links oben am Rand und rechts unterhalb des Blockes, nichts Gravierendes. .... "
Das nun auf Ebay verstärkt diese Angebote der offiziellen Ausgaben der Post auftauchen ist nun mal der normale Ablauf des Handels .
Aber es wird keine Angebote mehr erfolgen die sich den Siegerangeboten im mindesten gleichen ; Heißt keine neuen ungelaufenen Luxusbriefe oder Ersttagsbriefe . Man sollte auch bedenken, das manche Ebay-Händler einfach diese Artikel auch normal mit der Post versenden ohne sie in einem normalen Briefumschlag neutral zu stecken .

Gruß Peter
Wer einem Fremdling nicht sich freundlich mag erweisen, der war wohl selber nie im fremden Land auf Reisen.

Rückert, Friedrich
ichweißnix
AsterIX Village Craftsman
Beiträge: 200
Registriert: 28. Juni 2006 23:00
Wohnort: Berlin

Re: Asterix Briefmarken 2015

Beitrag: # 50247Beitrag ichweißnix »

Hallo Peter,

dies wird definitiv meine letzte Anmerkung zu diesem Thema sein.
Dass Du bei einer von Dir gefassten Meinung nicht mehr für Argumente zugänglich bist,
ist mir schon bei unserer letzten Meinungsverschiedenheit über eine billige China-Armbanduhr aufgefallen.

Du hast aber schon gelesen, dass die von Marco gestellte Frage eine komplette Löschung der FDC nicht vorraussetzte,
sondern nur den Zusammenhang als "Originalprodukt" differenzierte? Und selbst wenn ich mir die Löschung gewünscht hätte, wünschen kann ich mir viel. Marco hat das letzte Wort.

Du hast selbst übrigends die von mir schon einmal geposteten Grundlagen der Post für diese Sonderstempel
repostet. Gelesen hast Du sie auch? Die Post bietet selbst an, diese gestempelten Umschläge an den Absender
zurückzugeben oder an den geplanten Empfänger weiterzuleiten. Also wo ist nun die Definition, die zweites für FDC's
ausschließt?
Ich habe auch die ganze Zeit nur bemerkt, das jeder Händler solche FDC's anfertigen kann und dies zu nichts besonderen
macht.
- Wurde als Argument nicht akzeptiert, als der erste Umschlag mit den Briefmarken als FDC's auftauchte. Weil kein Asterix-Bezug darauf und der Händler nicht groß genug war.
Alle weiteren Anmerkungen und Argumente wurden auch nicht akzeptiert.
Nun gibt es einen Umschlag, verkauft (wie selbst Peter bemerkt) durch die Deutsche Post (sprich der ursprüngliche Lizenznehmer), verziert mit einem Asterix (also einem Lizenzbild, ohne gemeinfreie Designstücke). Der direkte Bezug ist
somit vorhanden, Asterix-Briefmarke drauf und dann noch der Asterix-Stempel (nach eurer eigenen Definition ist alles erfüllt).

Und nur weil er Spuren vom FDC-Transportband aufweist und Dir der Händler nicht groß genug ist, kommt es für Dich nicht
in Frage, dass das Sieger-Produkt vielleicht doch nicht so einzigartig und "original" ist?

Ich schließe mich hier jetzt aus. Ich habe geschrieben, was ich zu sagen habe.
ichweißnix
Benutzeravatar
Erik
AsterIX Druid
Beiträge: 8335
Registriert: 8. August 2004 17:55
Wohnort: Deutschland

Re: Asterix Briefmarken 2015

Beitrag: # 50290Beitrag Erik »

Hallo,

und so sieht das Packset, das ichweißnix oben bereits verlinkt hat, aus, wenn man es kauft:
Packset Vorderseite.jpg
Packset Vorderseite.jpg (177.34 KiB) 9158 mal betrachtet
Packset Rückseite.jpg
Packset Rückseite.jpg (185.84 KiB) 9158 mal betrachtet
In der hiesigen Hauptpost wurden die übrigens in einem großen, mit Asterix illustrierten Aufsteller präsentiert. Wenn ich ein Smartphone hätte, hätt' ich ein Bild davon gemacht .... ich hab' aber keins. In der Filiale mußte ich eine Weile anstehen, um dieses Packset für 1,99 € zu bezahlen. Dabei sah ich, wie auf einem Monitor ein kleines Werbefilmchen lief, das u.a. die Asterix-Philateliesachen anpries. Bis auf den Plusbrief habe ich alles vor Ort bekommen.

Meie Meinung zu den Sachen ist gemischt: Das Schreibset finde ich sehr schön gestaltet und mit 18,95 € für seinen reichhaltigen Inhalt auch (aus Sammlersicht zumindest) angemessen bepreist. Das Schmuckblatt ist vom Preis-/Leistungsverhältnis her aber zu teuer. Das geht eindeutig in Richtung Nepp für 14,95 €. Das Erinnerungsblatt ist mit 4,95 € in Ordnung, allerdings hätte ich mir auf dem (hier nur) einen Briefmarkenblock schon beide Ersttagsstempel gewünscht. Den Asterix-Stempel bekommt man nur in dem teuren Schmuckblatt.

Die Texte auf Schmuckblatt, Erinnerungsblatt und Markenheftchen finde ich gut. Sie geben für den Unkundigen einen schnellen, präzisen Überblick über das Wichtigste zu Asterix. Es kommen auch die Verfilmungen und der bald erscheinende 36. Band zur Sprache.

Die Illustration finde ich insgesamt etwas dürftig. Es handelt sich durchweg um uraltbekannte Merchandisingzeichnungen und vereinzelt um Motive direkt aus den Heften - die hat man alle schon 'zigmal gesehen. Irgendeine neue (Merchandising-)Zeichnung für diese Briefmarkenpublikation hätte ich mir doch gewünscht. Und besonders einfallsreich ist das Motiv der eigentlichen Briefmarken bzw. des Blocks nun auch nicht. Da wäre m.E. mehr "drin" gewesen.

Gruß
Erik
"Alle sollt ihr noch sehen, daß ich habe recht!" (Erik der Blonde, Die große Überfahrt, S. 5)
Benutzeravatar
Erik
AsterIX Druid
Beiträge: 8335
Registriert: 8. August 2004 17:55
Wohnort: Deutschland

Re: Asterix Briefmarken 2015

Beitrag: # 50316Beitrag Erik »

Hallo,
Comedix hat geschrieben:auf der Homepage der DBZ (Deutsche Briefmarken Zeitung) gibt es nun auch eine Ankündigung zu den Briefmarken und den Hinweis auf eine Sammlerausgabe der Zeitung, die Asterix thematisieren wird.
diese Ausgabe der Zeitschrift habe ich mir nun besorgt. Es ist die Deutsche Briefmarken-Zeitung (DBZ) Nr. 17/2015. Die Zeitschrift erscheint zweiwöchentlich im M. & H. Schaper Philatelie-Verlag. Eine Einzelausgabe kostet 4,20 €, ein Jahresabonnement 83,20 €.

Diese Ausgabe 17 hat eigentlich ein Asterix-Cover. Es zeigt eine Darstellung des aktuellen Blocks, in den aber Einzelmarken aus den Serien Belgien 2005 und Frankreich 1999 hineinmontiert sind. Dieses Cover wird allerdings durch einen Schutzumschlag verdeckt, der aber ebenfalls, wenn auch nur rechts oben klein die aktuelle Asterix-Briefmarke abbildet.

Die Zeitschrift hat einen recht üppigen Asterix-Inhalt, wenn man auch zu den Briefmarkenserien überraschend wenig erfährt. Bereits auf S. 3, der Seite des Inhaltsverzeichnisses, wird unter Abbildung einer Marke der 1992er Guernsey-Serie auf ca. 1/5 Seite auf das Asterix-Thema in dem Heft hingewiesen. Auf S. 6 findet sich dann eine knappe halbe Seite zur aktuellen Asterix-Ausgabe. Berichtet wird über die Erscheinungsform als Selbstklebemarken im Heftchen sowie über einen Erstverwendungsstempel. Offenbar - so entnimmt man dem Text - befand sich schon eine Vorschau zu der Serie mit Vermutungen über die Erscheinungsform in Ausgabe 15 des Magazins, die mir aber nicht vorliegt. Hat jemand anderes vielleicht Kenntnis vom Inhalt der Ausgaben 15 und 16?

Was den Erstverwendungsstempel angeht, ist dieser hier gemeint:
http://www.sonderstempel.info/stempel00 ... T=s010915a

Er wird auch auf der Seite des Markensets im Philatelie-Onlineshop der Deutschen Post erwähnt. Dort heißt es unter "Stempelung":
Das Versandzentrum Weiden bietet dieses Produkt auch in gestempelter Form an; verwendet wird hierzu ausschließlich der sog. „Erstverwendungsstempel Bonn“. Die Stempelung mit dem Erstverwendungsstempel erfolgt bei den Stempelstellen Weiden, Bonn und Berlin.
Wo man ein Markenheftchen mit dieser Stempelung bestellen kann, steht dort leider nicht. Über den Onlineshop selbst scheint das nicht möglich zu sein. Ich hatte vorgestern eine E-Mail an die Stempelstelle der Deutschen Post geschrieben, habe aber leider keine Antwort erhalten. - Vielleicht findet ja jemand anderes etwas heraus?

Wie dem auch sei: In der DBZ 17 ist darüber hinaus ein 4 Seiten langer Artikel von Udo Angerstein unter dem Titel "Zwerg mit Zaubertrank. Wie ein Gallier Europa eroberte". Der Artikel ist mit vielen Briefmarken und Stempeln, mehrheitlich mit Asterix-Motiven, illustriert. Allerings geht es inhaltlich um einen Abriß der Asterix-Historie allgemein, nicht speziell um die Briefmarkenausgaben. Nur einige davon finden eher Nebenbei knappe Erwähnung.

@Marco: Die DBZ 17/2015 dürfte auf jeden Fall einen Bibliothekseintrag wert sein und die Kriterien erfüllen.

Gruß
Erik
Dateianhänge
DBZ 17_2015 Cover mit Umschlag.jpg
DBZ 17_2015 Cover mit Umschlag.jpg (145.75 KiB) 9100 mal betrachtet
DBZ 17_2015 Cover.jpg
DBZ 17_2015 Cover.jpg (151.21 KiB) 9100 mal betrachtet
DBZ 17_2015 Innen1.jpg
DBZ 17_2015 Innen1.jpg (84.23 KiB) 9100 mal betrachtet
DBZ 17_2015 Innen2.jpg
DBZ 17_2015 Innen2.jpg (147.38 KiB) 9100 mal betrachtet
"Alle sollt ihr noch sehen, daß ich habe recht!" (Erik der Blonde, Die große Überfahrt, S. 5)
Benutzeravatar
Erik
AsterIX Druid
Beiträge: 8335
Registriert: 8. August 2004 17:55
Wohnort: Deutschland

Re: Asterix Briefmarken 2015

Beitrag: # 50319Beitrag Erik »

Hallo,
Erik hat geschrieben:Bis auf den Plusbrief habe ich alles vor Ort bekommen.
und das Plusbrief-Set habe ich jetzt auch bekommen, aus dem Online-Shop der Post. Ärgerlicherweise muß man sich dort wieder einen extra Account anlegen, um dort bestellen zu dürfen; eigentlich hasse ich sowas. Naja, dafür lag der Bestellung immerhin noch ein Werbeblatt bei, auf dem für das Asterix-Markenset bebildert geworben wird. Für den Sammler ist das dann ja immerhin eine kleine Erfreulichkeit. ;-)

Der Plusbrief selbst ist dann auch wirklich für jeden Sammler empfehlenswert. Für nur 3,50 € bietet er eine Menge: Es sind drei schön gestaltete Klappkarten darin. Diese sind nicht identisch mit denen aus dem von Peter oben vorgestellten Schreibset. Sie sind etwas größer und - anders als die aus dem Schreibset - auch innen mit Asterix-Motiven gestaltet.

Dazu erhält man drei Briefumschläge mit schon aufgedruckter Asterix-Briefmarke. Diese sind ebenfalls von beiden Seiten mit Asterix-Motiven gestaltet. Wenn man das Porto auf den Briefumschlägen abzieht, zahlt man nur 1,64 € für die Karten und die Umschläge. Da stimmt das Preis-/Leistungsverhältnis dann wirklich mal! :D

@Marco: Die Bibliothekseinträge sollten wirklich nocheinmal geändert werden. Das fängt dabei an, daß der Eintrag zu den Marken nicht mehr im Futur gefaßt sein sollte. - Ansonsten erscheint es mir sinnvoll, wirklich zwischen den Artikeln zu trennen. Ich würde vorschlagen, folgende Artikel anzulegen:

- Briefmarkenblock, Markenheftchen und Hinweis auf die Ersttagsstempel sollten in dem bestehenden Haupteintrag verbleiben, nebst Hinweisen auf die Zusatzeinträge.
- Das Schreibset sollte seinen Eintrag natürlich behalten.
- Ein neuer Eintrag sollte erstellt werden für das von Peter oben vorgestellte Schmuckblatt und das kleinere, ebenfalls von Peter vorgestellte sog. Erinnerungsblatt. Diese können aufgrund der Gleichartigkeit zusammengefaßt werden. Genauere textliche Informationen kann ich gerne liefern.
- Jeweils ein weiterer Eintrag sollte erstellt werden für das von mir vorgestellte Packset und das hier thematisierte Plusbrief-Set.
- Der Ersttagsbrief und die Luxusbriefe von Sieger sollten m.E. in einen eigenen Eintrag ausgelagert werden. Dann würde auch deutlicher, daß es sich nicht um offizielle Post-Produkte handelt. Alternativ könnten sie auch ergänzende Erwähnung auf der zu schaffenden Artikelseite mit dem Schmuck- und dem Erinnerungsblatt finden. Dort müßte dann zwischen den Herausgebern der dort erwähnten Artikel (Post, Sieger) deutlich unterschieden werden.
- Der bestehende Eintrag "Stempelabdruck" bedarf einer Überarbeitung. Die einleitenden Sätze, in denen es heißt, daß es noch keine Briefmarkenserie im deutschsprachigen Raum gab, sollten wegfallen bzw. angepaßt werden. Die beiden Ersttagsstempel zur aktuellen Serie sollten ergänzt werden; der im vorigen Beitrag angesprochene Erstverwendungsstempel ebenfalls (auch wenn noch keine Bezugsquelle bekannt ist).

Gruß
Erik
Dateianhänge
Plusbrief-Set Cover.jpg
Plusbrief-Set Cover.jpg (121.6 KiB) 9048 mal betrachtet
Plusbrief-Set Karten.jpg
Plusbrief-Set Karten.jpg (142.43 KiB) 9048 mal betrachtet
Plusbrief-Set Umschläge Vorderseite.jpg
Plusbrief-Set Umschläge Vorderseite.jpg (95.16 KiB) 9048 mal betrachtet
Plusbrief-Set Umschläge Rückseite.jpg
Plusbrief-Set Umschläge Rückseite.jpg (94.29 KiB) 9048 mal betrachtet
"Alle sollt ihr noch sehen, daß ich habe recht!" (Erik der Blonde, Die große Überfahrt, S. 5)
Benutzeravatar
Comedix
AsterIX Elder Council Member
Beiträge: 7689
Registriert: 20. November 2001 09:54
Wohnort: Hamburg
Kontaktdaten:

Re: Asterix Briefmarken 2015

Beitrag: # 50331Beitrag Comedix »

Danke, Erik, hier gibt es tatsächlich einiges zu tun, das werde ich jetzt nach und nach angehen. Aber zuerst muss ich mich um das Einpflegen der aktuellen Infos zum neuen Band machen. Wenn du mir beim schnellen Ändern der Postartikel entgegen kommen möchtest, wäre mir mit Textvorschlägen zu allen Punkten am meisten geholfen.
Deutsches Asterix Archiv: https://www.comedix.de
TwiX: @Asterix-Archiv, Mastodon: @Asterix_Archiv, Bluesky: @comedix.de
Antworten